聚焦水蜜桃隐私视频网站,传递环境检测行业新动态

为什么要做高温测试?测试标准与要点

作者: salmon范 编辑: 水蜜桃隐私视频网站仪器 来源: www.zyaxcs.com 发布日期: 2019.11.22

    1、什么是高温测试?高温测试的意义?

    在热环境下暴露的可降解塑料可能发生多种物理和化学变化。暴露时间的长短和温度的高低决定了发生变化的程度和类型。高温短暴露周期通常就足以缩短可氧化降解塑塑料的诱导期,这个过程会发生抗氧剂和增塑剂的消耗。物理性能如拉伸强度、冲击强度、伸长率和模量可能在诱导期内引起变化;然而,这些变化通常不是由于分子量的降低,而仅仅是一种随温度变化的响应,如结晶度增加或挥发物减少或二者同时发生。
    一般情况下,塑料在高温下的短期暴露会释放出易挥发物质,如水分、溶剂或增塑剂;减少模塑应力;增进热固性塑料固化;提高结晶度;并使增塑剂或着色剂或二者均发生颜色变化。通常,随着挥发物的减少或进一步的聚合反应将会出现进步收缩。某些塑料,如PVC,可能会由于增塑剂的损失或聚合物分子链的断裂面变施。聚丙烯及其共聚物在分子发生降解时往往会变得非常脆,而聚乙烯则会在拉伸强度和伸长率变小和脆化之前变柔软。因此,研究塑料、橡胶、色漆和清漆、高分子材料以及电路板等元件设备在高温下的性能是十分必要的。
    高温测试是用来确定产品在高温气候环境下储存、运输、使用的适应性的方法。试验的严苛程度取决于高温的温度和曝露持续时间。塑料、橡胶、色漆和清漆等高分子材料的高温测试主要包括热空气老化、耐热试验、耐热性的测定等。热空气加速老化是指试样在比橡胶使用环境更高的温度下暴露,以期在短时间内获得橡胶自然老化的效果。耐热试验是指试样暴露在与橡胶使用环境相同的温变下的试验。

    2、高温测试的标准有哪些?

    GB/T 3512-2014硫化橡胶或热塑性橡胶 热空气加速老化和耐热试验
    GB/T 7141-2008塑料热老化试验方法
    GB/T 1735-2009色漆和清漆 耐热性的测定
    GB/T 2423.2-2008电工电子产品环境试验 第2部分:试验方法 试验B:高温
    ASTM D573-04(2015)空橡胶的标准试验方法 热空气干燥炉中测定橡胶变质
    ASTM D865-2011橡胶在空气中加热变质的标准试验方法(试管封闭法)
    ASTM D3045-1992(2010)无负荷塑料热老化的标准实施规程
    ISO188-2011硫化橡胶或热塑性橡胶加速老化和耐热试验
    DIN 53508-2000橡胶试验 加速老化
    IEC 60068-2-2-2007 环境测试 第2-2部分:试验 试验B:干热

    3、高温测试要点总结

    (1)GB/T 3512-2014硫化橡胶或热塑性橡胶 热空气加速老化和耐热试验
    适用范围:
    本标准规定了硫化橡胶或热塑性橡胶热空气加速老化和耐热试验方法。两种方法分别为:方法 A:空气流速低的多单元式或柜式热空气老化箱,每小时换气3次~10次;方法 B:使用风扇强制通风的柜式热空气老化箱,每小时换气3次~10次。
    试验原理
    试样在高温和大气压力下的空气中老化后测定其性能,并与未老化试样的性能作比较。应使用与实际应用有关的物理性能判定橡胶的老化程度,但在没有表明这些性能与实际应用明确相关时,建议测试橡胶的拉伸强度、定伸应力、断裂伸长率(按ISO 37测定)和硬度(按ISO 48测定)。
    试验设备
    空气老化箱(多单元式老化箱、柜式老化箱、强制通风式老化箱)
    试验步骤
    加热老化箱到试验温度,将试样放入到老化箱中。如果使用多单元老化箱,每个单元中只能放一种橡胶。试样应不受应力,各面自由暴露在空气中,且不受光照。达到规定的老化时间后,从老化箱中取出试样,取出的试样以不受应力的方式在待测试的试验性能
所要求的环境下调节不少于16 h,不超过6天,按照有关性能试验方法测试。

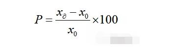
    试验结果表示:试验结果的表示应符合与待测性能相关的标准。应报告未老化和老化试样的试验结果,在适当的情况下按照式(1)计算测试性能的变化率:

测试性能的变化率

    式中:
    p--性能变化率
    x0--老化前的性能
    Xα--老化前的性能

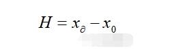
    硬度的变化按照式(2)计算:

硬度的变化按照式

    式中:
    H--硬度变化
    x0--老化前的硬度
    xα--老化前的硬度
    (2)GB/T 7141-2008塑料热老化试验方法
    适用范围:
    1)本标准规定了塑料仅在不同温度的热空气中暴露较长时间时的暴露条件。本标准仅规定了热暴露的方法,而未对试验方法或试样进行规定。热对塑料任何性能的影响都可以通过选择适合的试验方法和试样来测定,本标准推荐使用ASTM D3826标准来测定脆化终点,脆化终点是指在0. 1 mm/min的初始应变速率下,当75%的被测试样断裂伸长率为5%或更小值时,材料即达到其脆化终点。
    2)本标准给出了比较材料热老化性能的导则,这些性能通过某相关性能的变化来测定(也就是说,脆化性能通过伸长率的减少来测定)。本标准适用于评价使用时易氧化的塑料。
    3)按照本标准得到的结果受到所用热老化试验箱类型的影响。使用者可以选择两种方法中的一种进行热老化试验箱暴露。基于这两种方法的结果不应相互混淆。方法A:重力对流式热老化试验箱--推荐用于标称厚度不大于0.25 mm的薄型试样;方法B:强制通风式热老化试验箱--推荐用于标称厚度大于0.25 mm的试样。
    4)本标准介绍了在单一温度下比较材料热老化性能的方法。本标准还描述了材料在一系列温度下测定热老化性能的方法,以此来估计在某更低温度下材料发生规定特性变化所需的时间。本标准没有预计应力、环境、温度和控时失效等因素相互作用时的热老化性能。
    试验设备
    热老化试验箱(重力对流式热老化试验箱、强制通风式热老化试验箱)、试样架、相关试验仪器
    试样要求
    方法A--推荐用于标称厚度不大于0.25 mm的薄型试样;方法B--推荐用于标称厚度大于0.25 mm的试样;至少3个平行试样

试验温度和暴露时间:如表1所示:

试验温度和暴露时间

    试验结果评定:方差分析在单一温度下每种材料每个周期得暴露结果比较;绘制热老化时间-伸长率以及温度的倒数-热老化时间的对数的关系图评价在一系列不同的温度下材料的比较。
    (3)GB/T 1735-2009色漆和清漆 耐热性的测定
    适宜范围
    本标准是有关色漆、清漆及相关产品的取样和试验的系列标准之一。本标准规定了一种通用的方法用来测定色漆、清漆或相关产品的单一涂层或复合涂层体系在规定的温度下涂膜颜色、光泽的变化,起泡、开裂或从底材上剥离的性能。
    试样要求
    按GB/T 3186的规定,取受试产品的代表性样品;按GB/T 20777的规定,检查和制备试验样品;推荐试板尺寸至少为120mm*50mm
    试验步骤
    在规定或商定的温度和时间下进行试验。将三块试板放入规定温度的鼓风烘箱或高温炉中,如试验在烘箱中进行,则试板距离烘箱每一面的距离不小于100 mm,试板相互间间隔不小于20 mm,如试验在高温炉中进行,则尽量将试板放在高温炉的中间部位。在规定温度下将试板放置规定的时间。能确保涂漆试板均匀受热的好方法是用细铁丝将样板悬挂起来,也可将试板放在由合适的耐热材料制成的样板架上或将样板的涂漆面向上放在位于支承物上的由耐热材料制成的板上。达到规定时间后,将试板从烘箱或高温炉中取出并使之冷却至室温。检查试板并与在同样条件下制备的未经加热的试板进行比较,看涂膜的颜色是否有变化或涂膜是否有其他破坏现象,以至少两块试板现象一致为试验结果。
    试验结果评定
    涂膜的颜色变化或涂膜是否有其他破坏现象
    (4)GB/T 2423.2-2008电工电子产品环境试验 第2部分:试验方法 试验B:高温
    适用范围
    本部分规定的高温试验适用于非散热和散热试验样品。试验Bb和试验Bd与早期版本无实质上的差异。本高温试验的目的仅限于用来确定元件、设备或其他产品在高温环境下使用、运输或贮存的能力。本高温试验不能用来评价试验样品耐温度变化的能力和在温度变化环境下的运行能力,在这种情况下,应采用GB/T 2423.22。本高温试验方法细分为以下几种: 非散热试验样品高温试验:试验Bb,温度渐变;散热试验样品高温试验:试验Bd,温度渐变;试验Be,温度渐变,试验样品在整个试验过程通电。
    试验温度:1000、800、630、500、400、315、250、200、175、155、125、100、85、70、65、60、55、50、45、40、35、30
    试验持续时间:2h、16h、72h、96h、168h、240h、336h、1000h
    试验结果评定:对样品进行目视检查以及相关规范要求的性能检测
【相关推荐】
查看详情 + 上一条 什么是结露试验?
查看详情 + 下一条 水蜜桃隐私视频网站可程式亚洲精品水蜜桃实验室必备仪器设备

东莞市水蜜桃隐私视频网站环境检测仪器有限公司 版权所有

备案号:粤ICP备63827038号

咨询热线:400-088-3892 技术支持:水蜜桃隐私视频网站仪器 百度统计

联系水蜜桃隐私视频网站

  • 邮箱:riukai@zyaxcs.com
  • 手机:189 3856 3648
  • 座机:0769-81019278
  • 公司地址:东莞市横沥镇神乐一路15号

关注水蜜桃隐私视频网站

  • <a id=" src="http://www.zyaxcs.com/resource/images/ee6ddfa37b974b8ab546b9456ceeac2a_2.jpg" title="">客服微信
网站地图