聚焦水蜜桃隐私视频网站,传递环境检测行业新动态

如何选择温度循环试验的规格参数

作者: salmon范 编辑: 水蜜桃隐私视频网站仪器 来源: www.zyaxcs.com 发布日期: 2020.10.07
    对电子产品而言,周期性温度变化引发的环境应力对样品的影响会根据试验效果的不同而不同,它会导致样品的机械性能(如热膨胀系数、热传导系数、杨氏模量)等存在很大的差异.

    在温度循环试验中,影响其试验效果的主要参数是:温度变化范围、试验箱的升降温速率、试验样品在高温或低温中的暴露时间.转换时间、试验的循环次数。在MIL-STD-883G 1010. 8、JESD22-A104- B、GB/T2423-2002中给出了相关的参考标准,但是存在着一定的差异(表1)。下面根据温度循环试验的典型剖面图(图2)对其主要参数进行分析.

各标准中温度循环试验关键参数的比较

    1、温度范围
    温度范围是指上限温度TM与下限温度Tt的差值,原则上该值越大越好,因为温度越高就有越大的热应力和热疲劳的交互作用同时加在试样上,对剔除早起失效的效率也越高.但是对于某些材料,当温度达到某一数值时,能诱发一般在设计过程中看不到的失效机制,并且因热膨胀系数的不同,在不同的温度条件下进行试验时,容易使产品过早失效.

    另外,试验的升温和降温过程容易在元件或设备上产生凝露或结霜现象,这会给样品额外的应力。所以,温度范围的选择要根据产品的具体情况而定,试验温度不能过高也不能太低,应该在不伤害正常产品的前提下选择的温度范围,一般在-55~+125℃之间.

温度循环剖面图

    由于三个标准初适用对象的不同,使所定的温度范围也不相同.MILSTD-883G初主要是针
    对军用设备的,所以在温度的规定上更为苛刻,而JESD22-A104-B是对全球的电子产品所做的规定,相对来说它比MIL STD-883G要宽松,由表1给出的温度范围的数据就可以看出,MILSTD-883G3的高温范围几乎为JESD22-A104-B的一倍.在进行温度的选择时,应考虑操作环境和系统的使用,所以满足商用品的GB/T2423-2002一般将温度范围规定为0℃~+55℃、-40℃~+85℃, MIL-STD-883G1010.8在用于民用电子产品时将温度定为-55℃~+125℃.
    温度的选择对试验的循环次数和模型的选择都存在着影响.
    2、温度变化速率
    温度循环试验箱的升温速率及降温速率与箱内的冷却方式有关,如果直接采用空气循环的冷却方式,那么升降温的速率就被限制在5~10℃/min;如果是液氮进行冷却,该值为25~40℃/min.国内的温度循环试验箱一般都是采用空气循环的方式进行冷却,如RK-TH系列的温度循环试验箱都是采用多翼式送风机强力送风循环,而国外的温循箱通常采用液氮进行冷却,这样就可以达到一个较高的温变速率.温度循环试验箱冷却方式的不同使各标准在规定温变速率时也存在了差异.
    一般,温度变化速率的增加有利于激发潜在缺陷暴露,温变速率越高,试验强度就越强,越容易激发样品的缺陷;但当温度变化速率达到某一特定值后,温度循环试验的强度基本上达到饱和状态,试验样品对温度的变化不是很敏感,样品的温度变化明显滞后于温度循环试验箱的温度变化.
    3、暴露时间

    高温( TB)或低温(TA)下暴露时间t1的长短取决于试验样品的热容量.“热容量”指系统在某一过程中.温度升高(或降低)1℃所吸收(或放出)的热量.如果在一定的过程中,当温度升高△T时,系统从外界吸收的热量为△Q ,那么在该过程中该系统的热容量

热容量

    以低温箱为例,低温箱的温度在TA下保持的时间t1;应该包括放人样品后箱内温度(包括样品的温度)稳定到TA所需的时间t3和稳定后样品继续放的时间t4,t3不应该超过t1,的1/10.又因为t3的长短主要由样品放热的速度(即热容量)决定,所以t1也取决于样品的热容量.
    除此之外,1t与样品的热时间常数也有重要的关系.热时间常数取决于周園介质的性质和运动速度.对于大样品或设备而言,其内部和外部的热时间常数可能相差很大,故以考虑里面的或易受损害的热时间常数为主.在温度变化试验导则中给出了如下规定:
    若t≥5τ,则d <0.01D;若t1≥2.5τ,则d <0.1D .
    式中:t1,为暴露时间;τ为试验样品的热时间常数;d为试验介质温度与试验样品温度之差;D为高低温之差,即TB-TA.
根据t1与τ的关系式可知,d越小,试验持续的时间就越长.试验的时间一般为3~5倍的热时间常数.

    热时间常数

热时间常数

    其中: m为样品的质量,g;C为比热容,J/(g·℃);S为散热面积,cm²; λ为散热系数,W·(cm²·℃).这样t1就与样品质量存在着间接关系了.
    4、转换时间
    转换时间t2也与样品的热时间常数有关,标准中给的t2通常针对常规大小的样品,如果遇到了大件样品或小试验样品,可将转换时间t2进行适当的延长或缩短.t2所包括的范围是从一箱中开始准备转移——环境中停留一一到另一箱中放好这一整个过程的时间.
    综合对t1和t2的分析,三个标准中对暴露时间和转折时间选取的不同可能是因为温度循环试验箱的容积以及样品的体积存在差异.温度循环试验箱内空间容积与试样样品体积的比值不同,会导致温度循环试验箱内热容量的不同,这就使暴露时间t1的选取有异;同时,样品的质量会导致τ的不同,进而影响到t2.
    5、循环时间

    图3给出的是MIL-STD-883G 1010.8 中测试条件下的一个图例,可见一个循环周期由两个暴露时间t1;和两个转换时间t2组成. 

循环时间

    6、循环次数
    循环次数与试验中的温度变化速率、暴露时间等参数都是相互影响的.如果热容量较大,温度变化速率较高,并且样品在温度循环试验箱中暴露的时间足够长,这样在一个循环周期内试验的强度可足够大,那么经过较少次数的试验就能达到预期目的.当循环次数较多时,每一次的温度变化都会使试样内部出现交替的膨胀和收缩,让其一直在热应力和应变的作用下处于一种疲劳状态,所以次数太多会影响试样的使用寿命,并且会提高成本,因此一般选择适当的循环次数.

    循环次数与温度范围之间也存在定量的关系.Coffin-Manson方程建立了热应力引起的低周疲劳(low cycle fatigue)影响模型 ,其方程为:

Nf方程式

    式中: Nf,为温度循环的次数;△εp为塑性应变;CE,为常数.

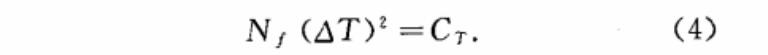
    塑性应变△εp与温度循环的范围△T成正比,故式(3)可以写成:

Nf方程式-1

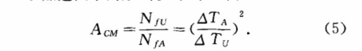
    式中:△T为温度范围;CT为常数.以加速因子的形式改写式(4)为:

Acm方程式

    式中: Acm为循环次数的加速因子;Nfu为正常使用时至失效为止的循环次数;NfA为加速时至失效为止的循环次数;△Tu为使用时温度范围;△TA为加速时温度范围.式(3)和式(4)就反应出了循环次数与温度范围之间的定量关系.
    如果要用较少的循环次数来完成实验,可以通过拓宽温度范围来实现同样的效果;如果实验的温度范围不能设置太宽,这时可以通过增加循环次数来达到同样的效果.
【相关推荐】
查看详情 + 上一条 电子产品的工作环境及其对产品的影响
查看详情 + 下一条 怎样分辨亚洲精品水蜜桃的质量优劣?

东莞市水蜜桃隐私视频网站环境检测仪器有限公司 版权所有

备案号:粤ICP备63827038号

咨询热线:400-088-3892 技术支持:水蜜桃隐私视频网站仪器 百度统计

联系水蜜桃隐私视频网站

  • 邮箱:riukai@zyaxcs.com
  • 手机:189 3856 3648
  • 座机:0769-81019278
  • 公司地址:东莞市横沥镇神乐一路15号

关注水蜜桃隐私视频网站

  • <a id=" src="http://www.zyaxcs.com/resource/images/ee6ddfa37b974b8ab546b9456ceeac2a_2.jpg" title="">客服微信
网站地图