聚焦水蜜桃隐私视频网站,传递环境检测行业新动态

某电路板加速可靠性试验案例

作者: 网络 编辑: 水蜜桃隐私视频网站仪器 来源: 网络 发布日期: 2021.07.15
    01某电路板参数和使用条件
    某电路板安装8个无引线片式电容,设计寿命10年,每天通断电一次(N=3650循环)。使用温度日循环,平均日循环温度ΔT=40℃。10年后可接受的累积失效率x=0.5%。通过试验验证其10年后失效率能否满足要求。
    片式电容物理参数为:αC=6.8ppm/℃,h=0.127mm,LD=2.032mm。
    电路板基板为低CTE多层板,αS=10.5ppm/℃。
    02试验电路板参数和试验条件
    电路板基板的也热膨胀系数较低,为了加速焊点的疲劳失效,更换热膨胀系数较大的FR-4多层板,αS=16ppm/℃。每试验电路板安装8个片式电容,其工艺与实际产品相同,共32个试验电路板参与加速试验。
    试验条件选定为(0-100)℃的温度循环,TD=15min,ΔTe=100℃,TSJ=50℃,每天24个试验循环。
    03试验数据
    试验共进行6400循环,出现17个失效,失效数超过试验件数量一半,试验结束。

    表1 热循环试验失效数据

表1 热循环试验失效数据

    04数据分析计算
    根据试验数据表1,计算失效率,可以得到失效率与寿命的关系曲线。

    将式(2)转化为失效率和寿命的关系如下:

失效率和寿命的关系

    式(7)为典型的失效率与寿命的威布尔分布关系式。
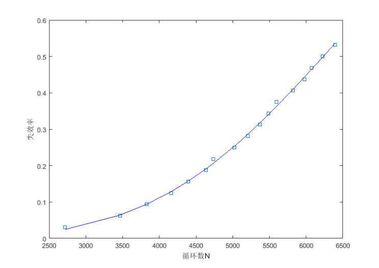
    通过试验数据进行失效率和寿命的威布尔分布关系曲线拟合,计算得到式(7)中β=4,N(50%)=6233,拟合相关系数R2=0.9987,拟合曲线与试验数据见图4。
拟合曲线与试验数据
    图4 失效率与循环数N试验数据与拟合曲线
    可以看出试验数据符合β=4的威布尔分布,平均寿命N(50%)=6233。

    试验为8个器件一组进行,根据样本分组修正公式:

样本分组修正公式

    式中:
    β—威布尔分布形状参数;
    m—一组器件的数量。
    根据式(8),可以计算出试验条件下单个CC1820器件的平均寿命:N(50%,test)=10483。
    根据式(5),可以计算出疲劳延展系数:ΔT=40℃,c(use)=-0.4739;ΔT=100℃,c(test)=-0.41599。
    根据式(1)可以计算得到加速试验下单个器件一个循环损伤:ΔD(test)=0.01593。
    根据式(3)计算得到经验系数F=0.7035。
    将经验系数F带入式(3),可以计算得到使用环境下:ΔD(use)=0.002563。
    根据式(6)可以得到加速试验加速系数:=14.01。
    根据式(1),计算得到使用环境下单个器件平均寿命N(50%,use)=146833。
    根据式(8),计算得到电路板8个一组器件平均寿命N(50%,use)=87308。
    根据式(2),可以计算使用环境下,电路板失效率x=0.5%时,电路板的寿命为N(0.5%,use)=25460。
    根据式(2),同样可以计算工作环境下使用10年时,电路板失效率x=2.117E-6。
    可知电路板工作10年时,失效率<0.5%,满足使用要求。
【相关推荐】
查看详情 + 上一条 水蜜桃隐私视频网站仪器带视窗两箱式水蜜桃APP下载观看产品介绍
查看详情 + 下一条 电子设备热循环加速可靠性试验策划

本文标签: 加速可靠性试验

东莞市水蜜桃隐私视频网站环境检测仪器有限公司 版权所有

备案号:粤ICP备63827038号

咨询热线:400-088-3892 技术支持:水蜜桃隐私视频网站仪器 百度统计

联系水蜜桃隐私视频网站

  • 邮箱:riukai@zyaxcs.com
  • 手机:189 3856 3648
  • 座机:0769-81019278
  • 公司地址:东莞市横沥镇神乐一路15号

关注水蜜桃隐私视频网站

  • <a id=" src="http://www.zyaxcs.com/resource/images/ee6ddfa37b974b8ab546b9456ceeac2a_2.jpg" title="">客服微信
网站地图